University of Chicago Logo CP Violation Group at the University of Chicago
Home Kaon Experiment Documents People Photos Links
Basic theory Importance for CPV History

Kaon & CPV

      In the Standard Model, eight gluons mediate the strong interaction, while W ±, Z0 and &gamma mediate the electroweak interaction. W ± can mediate flavor-changing processes through the following Lagrangian:
     
where Vij is the Cabibo-Kobayashi-Maskawa matrix, which connects the weak eigenstates and the mass eigenstates:
     

      The CKM matrix is unitary, and it can also be complex. It can be parametrized by 3 Euler angles and 1 phase angle. Then, the phase will enter the wave function as exp [i((&omega)t+(&delta)]. This is not invariant under t reversal. Then, if Vij are not real entries, CP will be violated.

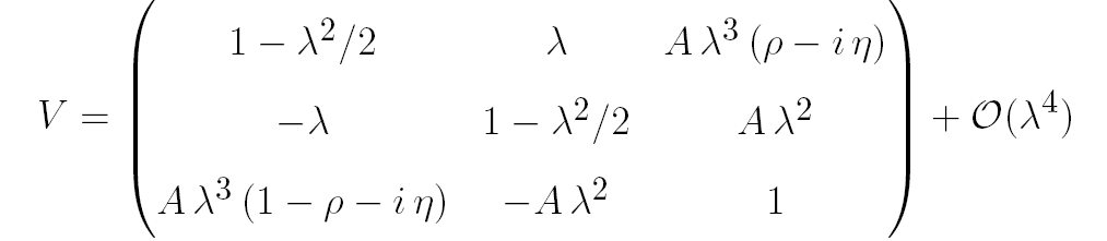
      In the Wolfstein parametrization, the matrix is written as an expansion of &lambda=(approx.)0.22


     

      So, this approximates the matrix to the order of &lambda3. This parametrization is extremely important for us. Thanks to it, we can tell from it that CP is conserved to the order of &lambda2, and only violated in order of &lambda3. Furthermore, the branching ratio of some special decays can be directly expressed in terms of the parameters in the Wolfstein parametrization. The reason is the following.

      The matrix must be unitary, since the couplings between u, c and t quarks and the 'rotated' states d', s' and b' are, we assume, specified by the same Fermi constant, G. Because of this, the dot of a column or row with its complex conjugate is equal to 1, and the dot with the complex conjugate of other rows or columns must be 0. Applying this to the 1st and 3rd columns of the CKM matrix, we get conditions for a triangle in the complex plane,
     
which is also called the Unitarity Triangle:

      Therefore, determining the parameters of the CKM matrix is an important test of the Standard Model. The branching ratio (the probability this event will occur) of KL -> π0 π0 ν ο is proportional to ρ2. The decay KL -> π0 ν ν is proportional to η2. The measurement of this branching ratio would allow us to specify the position of the vertex of the Unitarity triangle purely through neutral decays of KL.

      This means that our experiment will measure parameters in SM, or it would indicate space for new physics. It is also caused by the fact that the calculation that comes from the CKM matrix is very precise; BR<(2.49 ± 0.39)x10-11.

High Energy Physics | 5640 S Ellis Ave | Chicago IL 60637 | +1-773-702-8113

Last update: August 2012
Webmaster: Nina Kuklisova