University of Chicago Logo CP Violation Group at the University of Chicago
Home Kaon Experiment Documents People Photos Links
Basic theory Importance for CPV History

Basic theory

      Kaons are mesons formed by a strange (or anti-strange) quark and an up or down quark. They have strangeness of ± 1. Both charged kaons (K+, K-) and neutral kaons (K0, K 0) exist. These neutral kaons are distinguished by their strangeness: S(K0)=1, S(K0)=-1. The neutral kaons offer a very interesting subject for studying. During particle - antiparticle oscillation, K0 -> K0, and K0 -> K0.

Therefore, these are not CP eigenstates.

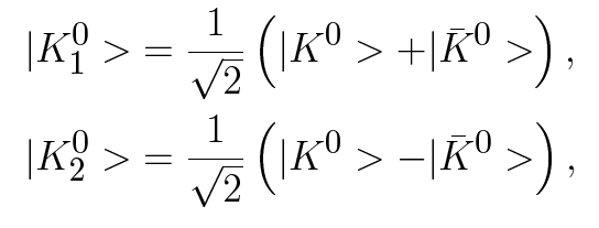
      Theoretically, in order to get them, it should be enough to use their linear combinations. (We use Dirac notation to indicate the wave fuction.)
     

      K1 primarily decays to 2 π which occurs quickly. According to the CP eigenvalue, K2 primarily decays to 3 &pi which occurs on a slower timescale. In 1964, Cronin and Fitch observed that CP is not conserved in weak interaction in their experiment of a decay of a long lived neutral kaon to 2 π .

      This means that the kaons that are CP eigenstates are linear combinations of these two observed in experiments (such as our, for instance) are a mixture of K2 with a small amount of K1, which we call KL.
     


High Energy Physics | 5640 S Ellis Ave | Chicago IL 60637 | +1-773-702-8113

Last update: August 2012
Webmaster: Nina Kuklisova